English
全部
搜索
图片
视频
地图
资讯
更多
购物
航班
旅游
笔记本
报告不当内容
请选择下列任一选项。
无关
低俗内容
成人
儿童性侵犯
时长
全部
短(小于 5 分钟)
中(5-20 分钟)
长(大于 20 分钟)
日期
全部
过去 24 小时
过去一周
过去一个月
去年
清晰度
全部
低于 360p
360p 或更高
480p 或更高
720p 或更高
1080p 或更高
源
全部
Dailymotion
Vimeo
Metacafe
Hulu
VEVO
Myspace
MTV
CBS
Fox
CNN
MSN
价格
全部
免费
付费
清除筛选条件
安全搜索:
中等
严格
中等(默认)
关闭
筛选器
Numerical problem. At an orbital height of 400 km, find the orbital p
…
2024年9月16日
shaalaa.com
Using Kepler's Third Law to Find the Orbital Speed of a Planet around
…
2021年11月13日
study.com
2:01
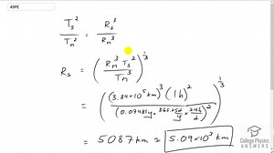
OpenStax College Physics Solution, Chapter 6, Problem 43 (Problems
…
已浏览 183 次
2018年3月15日
collegephysicsanswers.com
2:05
OpenStax College Physics Solution, Chapter 6, Problem 49 (Problems
…
已浏览 45 次
2018年3月15日
collegephysicsanswers.com
1:01
What if we set the Moon's orbital speed to zero? - Universe Sandbo
…
已浏览 41.4万 次
2 周前
YouTube
SimulaVerse
Calculating Orbital Speed: A Physics Tutorial
已浏览 1269 次
2024年11月16日
TikTok
heywood_academies
Orbital Eccentricity of Planets | Overview, Formula & Climate
已浏览 4.8万 次
2015年4月17日
Study.com
How To Calculate The Mass, Orbit And Radius Of Exoplanets
2022年5月1日
astrophysics-lincoln.org
Calculate the value of orbital velocity for an artificial satel... | Filo
2024年11月17日
askfilo.com
How I Very Very Roughly Estimated my Rocket's Height (Assumed Pro
…
已浏览 7512 次
2019年8月2日
YouTube
PyroChemMiner
15:42
Elliptical Orbits - Brain Waves
已浏览 3.6万 次
2016年6月22日
YouTube
purdueMET
11:33
FACTS ABOUT THE EARTH's ORBIT AROUND THE SUN
已浏览 3.3万 次
2017年5月26日
YouTube
FLAT EARTH AWARENESS
3:41
The ISS orbit visualized on the Equirectangular projection
已浏览 2.9万 次
2019年12月23日
YouTube
Janosch Gaia
0:43
How the Moon orbits Earth
已浏览 42.8万 次
2020年4月17日
YouTube
Interplanetary
4:16
How Do Satellites Get & Stay in Orbit?
已浏览 115.5万 次
2014年7月9日
YouTube
SciShow Space
3:24
Energy Levels, shells, SubLevels & Orbitals
已浏览 85.2万 次
2017年6月20日
YouTube
Nitya Kode
12:42
sp² hybridization | AP Chemistry | Khan Academy
已浏览 44.9万 次
2014年5月4日
YouTube
Khan Academy Organic Chemistry
3:09
Projectile Motion Calculating the Maximum Height Part 6
已浏览 17.1万 次
2014年1月25日
YouTube
Physicshelp Canada
19:19
Average Velocity and Instantaneous Velocity
已浏览 71万 次
2018年2月24日
YouTube
The Organic Chemistry Tutor
21:09
Projectile Motion: Finding the Maximum Height and the Range
已浏览 65.2万 次
2017年3月16日
YouTube
Physics Ninja
2:21
Orbital Speed of Planets - GCSE Physics
已浏览 3.8万 次
2020年5月29日
YouTube
vt.physics
21:36
Molecular Orbital Theory - Bonding & Antibonding MO - Bond Order
已浏览 146.1万 次
2020年12月28日
YouTube
The Organic Chemistry Tutor
19:47
Gravity, Universal Gravitation Constant - Gravitational Force Bet
…
已浏览 96万 次
2017年9月13日
YouTube
The Organic Chemistry Tutor
14:01
Sun Synchronous Orbits | Orbital Mechanics with Python 34 V2.0
已浏览 3.4万 次
2021年3月15日
YouTube
Alfonso Gonzalez - Astrodynamics & SE Podcast
2:10
Orbital velocity (orbital speed) calculation - GCSE Physics
已浏览 2.8万 次
2021年1月15日
YouTube
vt.physics
15:01
Astrophysics - Exoplanets - radial velocity method 3 (1/2) - (IB Physi
…
已浏览 1.3万 次
2012年11月6日
YouTube
Sirius Revision
7:01
Calculate Mass of a Planet from Kepler & Newton's Laws
已浏览 3.1万 次
2014年7月31日
YouTube
julievandermeij
8:29
Gravitation (5 of 17) Calculating Orbital Velocity of a Satellite
已浏览 14.8万 次
2016年5月8日
YouTube
Step by Step Science
7:49
Rocket Fundamentals (Ideal Rocket Equation Derivation, Specific Imp
…
已浏览 2.6万 次
2021年3月14日
YouTube
Alfonso Gonzalez - Astrodynamics & SE Podcast
6:29
Calculating height using energy | Modeling Energy | High School Ph
…
已浏览 1.4万 次
2021年7月29日
YouTube
Khan Academy
观看更多视频
更多类似内容
反馈